上海松治新型建材有限公司
地址:如皋市東城鎮新東路198號
電話:021-56736072 57636224 67827236
傳真:021-57636224
E-mail:SHSZ88@163.COM
1、簡介:SZ成品屋頂通風器由框架、防雨板、泄水槽、外護板、導流板、活動閥板、泛水板、電動執行機構或手動執行機構組成,活動閥板采用電動、手動、遙控方式控制,根據喉口尺寸分為不同型號(并可按客戶需要進行非標設計、制造);根據安裝位置分為屋脊通風器和順坡通風器,根據控制方式又可以分為:敞開式和啟閉式;根據外型可分為:折線型、三角型、流線型等多種形狀。
2、適用范圍:SZ流線型通風器是高熱廠房通風換氣理想的改型換代產品,適用于換氣次數較大的車間,特別對高熱氣、高廢氣、有害氣體及粉塵濃度高的車間,該產品已廣泛應用于冶金、化工、冶煉、電力、輕工等各種熱車間的通風,諸如:鋼鐵冶煉、玻璃熔化、造紙、焊接車間等
3、特點:通風換氣量大、美觀的流線外型、專業的防雨導流系統、絕對無飄雨漏雨隱患。
4、骨架防腐處理:A、骨架表面熱鍍鋅處理,通常可達到15年以上防銹蝕能力。
B、骨架表面普通防銹處理,通常為兩地兩面油漆,如油漆有特殊要求,請致電本公司技術部。
C、特殊酸堿性環境采用相應金屬防腐方案。
預知詳情請致電本公司技術部。

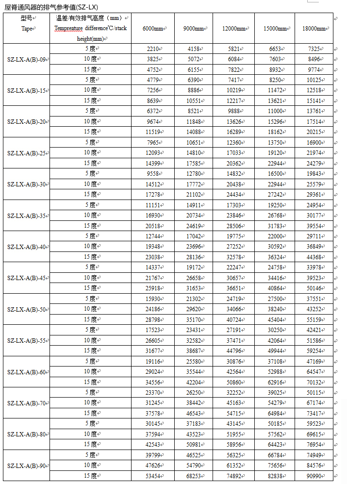
通風器型號選用
SZ-LX-A(B)-XX
SZ---公司品牌
LX---通風器外型代碼
A(B)----開敞式(啟閉式)
XX---洞口寬度
